循環水流量計DN700,循環水流量計價格
點擊次數:2235 發布時間:2021-01-16 15:00:48
循環水流量計DN700產品概述
電磁流量計連接方式有法蘭式,螺紋連接式和卡箍式連接。它特別設計了帶背光寬溫的中文液晶顯示器,功能齊全實用、顯示直觀、操作使用方便,可以減少其他電磁流量計英文菜單所帶來的不便。另外我們**設計4-6多電極結構,進一步保證了測量精度并且任何時候無需接地環,減輕了儀表體積和安裝維護的麻煩。LDE電磁流量計精度通常為0.5級,故障率低,是測量液體介質*先流量儀表。

循環水流量計DN700特點
電磁流量計由傳感器和轉換器兩部分組成,被測流體介質電導率≥ 5μS/cm。
本產品采用當前電磁流量計的*新技術制造,具有以下特點:
1、測量管內無阻力及活動部件,因此無壓力損失,是一種典型的節能儀表。
2、由于感應信號是在整個充滿磁場的空間形成,它與管道截面上流速的平均值成正比。因此,對管道內流速分布不敏感,要求流量計上、下游的直管段相對其它流量計短。
3、測量不受流體密度、粘度、溫度、壓力和電導率變化的影響。
4、合理地選擇電極及襯里材料,能夠達到測量各種腐蝕性、耐磨性導電介質的使用要求。
5、轉換器采用新穎的勵磁方式,功耗低,零點穩定,測量精度高,適于生產過程流量檢測和總量計量。流量測量范圍可達1500:1。
6、流量計具有自動流向鑒別,能測量雙向流。具有電流、頻率、脈沖和RS485數字通訊輸出。還有流量上下限報警和故障報警功能。
7、流量計能顯示瞬時流量、流速、流量百分比、正反累積流量、差值流量,方便讀數。內有三級密碼設置功能,防止數據被隨意更改。
8、轉換器采用3行128×64帶背光LCD點陣簡體漢字顯示,參數設置方便。并具有FROM存貯設置參數和累計流量值,具有掉電保護功能。
9、轉換器采用表面安裝技術(SMT),具有自檢與自診斷功能,可靠性高。
10、具有適合滿足現場環境條件安裝的防爆型、沉浸型、衛生型、分體型和一體型結構。
循環水流量計DN700型式及結構
按用途分類
2、按組合型式分類
按轉換器和傳感器的組合型式分類有:分體型和一體型。
3、主要結構
電磁流量計由傳感器和轉換器兩部分組成(如下圖所示)。
傳感器主要由測量管、電極、勵磁線圈、絕緣襯里、殼體等部分組成。

循環水流量計DN700技術性能指標
1、執行標準:JB/T9248-1999;
2、公稱通徑(mm):DN10、15、20、25、32、40、50、65、80、100、125、150、200、250、300、350、400、450、500、600、700、800、900、1000、1200、1400、1600、1800、2000;
3、*高測量流速:10m/s;
4、精度表
5、流體電導率:≥ 5μS/cm;
6、公稱壓力:DN10~DN50 4.0MPa;DN65~DN150 1.6MPa;DN200~DN1000 1.0MPa;DN1200~DN2000 0.6MPa。
7、*高流體溫度
8、襯里材料:聚四氟乙烯(PTFE) 氯丁橡膠 聚氨酯 聚全氟乙丙烯(F46) 聚氯合乙烯(FS)。
9、電極材料:不銹鋼、0Cr18Ni12Mo2Ti、哈氏合金B(Hb)、哈氏合金C(Hc)、鈦(Ti)、鉭(Ta)、鉑/銥合金(Pa)
10、外殼防護等級:IP65、IP68
11、防爆標志:一體型、DN10~DN600 mdⅡBT4;分體型、DN10~DN1200 mⅡBT4
12、供電電源:電壓220VAC 50Hz; 24VDC
13、分體型:傳感器與轉換器的距離 一般不超過100m。超過100m時,應特殊訂貨。
循環水流量計DN700安裝地點的選擇
為了使變送器工作可靠穩定,在選擇安裝地點時應注意以下幾個方面的要求:
⑴盡量避開鐵磁性物體及具有強電磁場的設備(如大電機、大變壓器的等),以免磁場影響傳感器的工作磁場和流量信號。
⑵應盡量安裝在干燥通風之處,不宜在潮濕、易積水的地方安裝。
⑶應盡量避免日曬雨淋,避免環境溫度高于60℃及相對濕度大于95%。
⑷選擇便于維修,活動方便的地方。
⑸流量計應安裝在水泵后端,決不能在抽吸側安裝;閥門應安裝在流量計的下游側。

循環水流量計DN700安裝要求
為了準確計量,在選擇安裝位置時應注意以下幾點要求:
⑴ 傳感器既可在垂直管道上安裝,也可以在水平或傾斜管道上安裝,但要求二電極的中心連線處于水平狀態。
⑵ 介質在管道中應滿管流動,避免由氣穴而產生電極斷路。
⑶ 對于液固兩相流體,*好采用垂直安裝,使傳感器襯里磨損均勻,延長使用壽命。
⑷ 在流量計安裝位置介質不滿管時,可采取抬高流量半后端管路的方法,使其滿管,嚴禁在管道*高點和出水口安裝流量計。(見圖)

⑸修改管道的安裝方法:當介質流速達不到要求時,應當選用較小口徑的流量計,這時應使用異徑錐管或修改部分管道,使其與傳感器同口徑,但要保證前后直管段長度。
⑹前后直管段為流量計前≥5DN,后端≥2DN。
循環水流量計DN700主要用途
電磁流量計廣泛用于化工、礦冶、給排水、造紙、醫藥、食品、石化、電力、輕工、農用灌溉、水利等行業的管道中,導電液體和漿液的體積流量的測量。
循環水流量計DN700正常工作條件
1、環境溫度: 傳感器 -25℃~+60℃;轉換器 -10℃~+60℃
2、相對濕度: 5%~90%;
3、供電電源:交流供電:頻率47~63Hz;電壓85~260V;諧波成分不大于5%;直流供電:18~36V,紋波5%。
4、功率: 小于20W。
循環水流量計DN700工作原理
傳感器是根據法拉*電磁感應定律工作的,如工作原理圖所示:

當導電液體沿測量管在交變磁場與磁力線成垂直方向運動時,導電液體切割磁力線產生感應電勢。在與測量管軸線和磁力線相互垂直的管壁上安裝了一對檢測電極,將這個感應電勢檢出。
則有:
E=BVD
式中:E—感應電勢;
B—磁感應強度;
D —電極間的距離,與測量管內徑相等;
V —測量管內被測流體的平均流速。
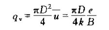
式(1)中磁場B是恒定不變的,D為一常數,則感應電動勢E與被測流體的平均流速V成正比。通過測量管橫截面上的瞬時體積流量Q與流速V之間的關系為:

循環水流量計算表選型時對于性能要求
管道循環水專用流量計在自控儀表系統應用中的防干擾策略
廢水處理的流程說明及冷卻循環水流量計在其中發揮的作用
循環水泵水流量計在工業管道測量中選型安裝與調試
如何使用空調循環水流量計在工業應用中保護泵機全力運行
工業循環水流量計在工業應用中的工作原理及產品特點
探究影響分布式供熱系統循環水流量計電磁損耗的具體原因
循環水流量計常見的錯誤安裝方式有哪些
冷卻循環水流量計在應用中的信號基準確定與直流噪聲干擾
地暖循環水流量計在廢硫酸回收裝置中流量測量的優勢
處理循環水流量計現場故障的措施與標準步驟
供暖二次循環水流量計的安裝條件對于測量效果影響的研究
管道循環水流量計在測量腐蝕介質時產生信號波動的原因分析
關于地暖循環水流量計在不同溫度下的特性變化研究分析
循環水流量表,中央空調循環水流量計
測量循環水流量計,循環水流量計DN700
循環水流量表,循環水流量計廠家
測量循環水流量計,工業循環水流量計
循環水流量計DN700,中央空調循環水流量計
工業循環水流量計,凝汽器循環水流量計
管道循環水流量計
200的管道循環水流量計
測量循環水流量計,空調循環水流量計
循環水流量計量表,循環水流量表
凝汽器循環水流量計
工業dn65循環水流量計,循環水流量計廠家
循環水流量計價格,工廠循環水流量計
循環水流量計DN700,循環水流量計廠家
循環水流量表,凝汽器循環水流量計
工業循環水流量計,循環水流量計廠家
電磁流量計連接方式有法蘭式,螺紋連接式和卡箍式連接。它特別設計了帶背光寬溫的中文液晶顯示器,功能齊全實用、顯示直觀、操作使用方便,可以減少其他電磁流量計英文菜單所帶來的不便。另外我們**設計4-6多電極結構,進一步保證了測量精度并且任何時候無需接地環,減輕了儀表體積和安裝維護的麻煩。LDE電磁流量計精度通常為0.5級,故障率低,是測量液體介質*先流量儀表。

循環水流量計DN700特點
電磁流量計由傳感器和轉換器兩部分組成,被測流體介質電導率≥ 5μS/cm。
本產品采用當前電磁流量計的*新技術制造,具有以下特點:
1、測量管內無阻力及活動部件,因此無壓力損失,是一種典型的節能儀表。
2、由于感應信號是在整個充滿磁場的空間形成,它與管道截面上流速的平均值成正比。因此,對管道內流速分布不敏感,要求流量計上、下游的直管段相對其它流量計短。
3、測量不受流體密度、粘度、溫度、壓力和電導率變化的影響。
4、合理地選擇電極及襯里材料,能夠達到測量各種腐蝕性、耐磨性導電介質的使用要求。
5、轉換器采用新穎的勵磁方式,功耗低,零點穩定,測量精度高,適于生產過程流量檢測和總量計量。流量測量范圍可達1500:1。
6、流量計具有自動流向鑒別,能測量雙向流。具有電流、頻率、脈沖和RS485數字通訊輸出。還有流量上下限報警和故障報警功能。
7、流量計能顯示瞬時流量、流速、流量百分比、正反累積流量、差值流量,方便讀數。內有三級密碼設置功能,防止數據被隨意更改。
8、轉換器采用3行128×64帶背光LCD點陣簡體漢字顯示,參數設置方便。并具有FROM存貯設置參數和累計流量值,具有掉電保護功能。
9、轉換器采用表面安裝技術(SMT),具有自檢與自診斷功能,可靠性高。
10、具有適合滿足現場環境條件安裝的防爆型、沉浸型、衛生型、分體型和一體型結構。
循環水流量計DN700型式及結構
按用途分類
| 種類 | 用途 |
| 普通型 | 在通常環境下使用 |
| 防爆型 | 在爆炸性氣體的環境下使用 |
| 衛生型 | 使用在有衛生要求的條件下 |
| 沉浸型 | 符合GB4208防護等級IP68 |
按轉換器和傳感器的組合型式分類有:分體型和一體型。
3、主要結構
電磁流量計由傳感器和轉換器兩部分組成(如下圖所示)。
傳感器主要由測量管、電極、勵磁線圈、絕緣襯里、殼體等部分組成。

循環水流量計DN700技術性能指標
1、執行標準:JB/T9248-1999;
2、公稱通徑(mm):DN10、15、20、25、32、40、50、65、80、100、125、150、200、250、300、350、400、450、500、600、700、800、900、1000、1200、1400、1600、1800、2000;
3、*高測量流速:10m/s;
4、精度表
| 通徑(mm) | 流速(m/s) | 基本誤差 |
| DN10,15,700~2000 | ≥1m/s | ±0.5%R |
| <1m/s | ±3mm/s | |
| DN20~600 | ≥1m/s | ±0.3%R |
| <1m/s | ±2mm/s |
6、公稱壓力:DN10~DN50 4.0MPa;DN65~DN150 1.6MPa;DN200~DN1000 1.0MPa;DN1200~DN2000 0.6MPa。
7、*高流體溫度
| 襯里材料 | 分體型 | 一體型 |
| 聚四氟乙烯(PTFE) | 100℃;特殊訂貨150℃ | 70℃ |
| 氯丁橡膠 | 70℃;特殊訂貨120℃ | |
| 聚全氟乙丙烯(F46) | 100℃ | |
| 聚氯合乙烯(FS) | 80℃ | |
| 聚氨酯 | 45℃;80℃訂貨時注明 |
9、電極材料:不銹鋼、0Cr18Ni12Mo2Ti、哈氏合金B(Hb)、哈氏合金C(Hc)、鈦(Ti)、鉭(Ta)、鉑/銥合金(Pa)
10、外殼防護等級:IP65、IP68
11、防爆標志:一體型、DN10~DN600 mdⅡBT4;分體型、DN10~DN1200 mⅡBT4
12、供電電源:電壓220VAC 50Hz; 24VDC
13、分體型:傳感器與轉換器的距離 一般不超過100m。超過100m時,應特殊訂貨。
循環水流量計DN700安裝地點的選擇
為了使變送器工作可靠穩定,在選擇安裝地點時應注意以下幾個方面的要求:
⑴盡量避開鐵磁性物體及具有強電磁場的設備(如大電機、大變壓器的等),以免磁場影響傳感器的工作磁場和流量信號。
⑵應盡量安裝在干燥通風之處,不宜在潮濕、易積水的地方安裝。
⑶應盡量避免日曬雨淋,避免環境溫度高于60℃及相對濕度大于95%。
⑷選擇便于維修,活動方便的地方。
⑸流量計應安裝在水泵后端,決不能在抽吸側安裝;閥門應安裝在流量計的下游側。

循環水流量計DN700安裝要求
為了準確計量,在選擇安裝位置時應注意以下幾點要求:
⑴ 傳感器既可在垂直管道上安裝,也可以在水平或傾斜管道上安裝,但要求二電極的中心連線處于水平狀態。
⑵ 介質在管道中應滿管流動,避免由氣穴而產生電極斷路。
⑶ 對于液固兩相流體,*好采用垂直安裝,使傳感器襯里磨損均勻,延長使用壽命。
⑷ 在流量計安裝位置介質不滿管時,可采取抬高流量半后端管路的方法,使其滿管,嚴禁在管道*高點和出水口安裝流量計。(見圖)

⑸修改管道的安裝方法:當介質流速達不到要求時,應當選用較小口徑的流量計,這時應使用異徑錐管或修改部分管道,使其與傳感器同口徑,但要保證前后直管段長度。
⑹前后直管段為流量計前≥5DN,后端≥2DN。
循環水流量計DN700主要用途
電磁流量計廣泛用于化工、礦冶、給排水、造紙、醫藥、食品、石化、電力、輕工、農用灌溉、水利等行業的管道中,導電液體和漿液的體積流量的測量。
循環水流量計DN700正常工作條件
1、環境溫度: 傳感器 -25℃~+60℃;轉換器 -10℃~+60℃
2、相對濕度: 5%~90%;
3、供電電源:交流供電:頻率47~63Hz;電壓85~260V;諧波成分不大于5%;直流供電:18~36V,紋波5%。
4、功率: 小于20W。
循環水流量計DN700工作原理
傳感器是根據法拉*電磁感應定律工作的,如工作原理圖所示:

當導電液體沿測量管在交變磁場與磁力線成垂直方向運動時,導電液體切割磁力線產生感應電勢。在與測量管軸線和磁力線相互垂直的管壁上安裝了一對檢測電極,將這個感應電勢檢出。
則有:
E=BVD
式中:E—感應電勢;
B—磁感應強度;
D —電極間的距離,與測量管內徑相等;
V —測量管內被測流體的平均流速。
式(1)中磁場B是恒定不變的,D為一常數,則感應電動勢E與被測流體的平均流速V成正比。通過測量管橫截面上的瞬時體積流量Q與流速V之間的關系為:



